Что такое достоверность в информатике: определение и пример
Информация — это абстрактное понятие, которому нет точного определения. Под ним можно понимать сигнал, явление, сообщение, данное или «что-то» другое, что дает основание принять решение. Считается, что информатика — это дисциплина, изучающая информацию, ее природу и свойства, но в образовательном процессе информатика ассоциируется с компьютерами и программированием.
Источники и получатели информации
Информация — это сигнал, данное или сообщение. Не важно, что мы получили, важно то, что мы получили основание принять решение. В этом контексте легко определить, что такое достоверность — это возможность принять обоснованное и объективное решение. Но не все так просто.
Источник информации — это не всегда телефон, телеграф или сигнал от станка. Компьютерная программа может стать источником информации, а всемогущий интернет или большая база данных может достоверно декларировать: информация — самый главный источник информации.
Получатель информации — это не всегда человек, часто это станок или программа. Дерево тоже будет получателем информации, когда в него ударит молния, да и не только. Важно: получатель определяет источник и «линию доступа» к требуемой информации. Вдвойне важно: получатель формирует критерий, что такое достоверность.

Объективность информации — свойство ее источника, но избранный получателем критерий может уничтожить объективность, и тогда вопрос о том, что такое достоверность в информатике, устремится к нулю.
Казалось бы, молния и дерево — это не пример того, что именно дерево определило путь молнии. Между тем молния идет по пути наименьшего сопротивления, а дерево, которое получило «сигнал», оказалось именно той самой второй пластиной природного конденсатора, которая достоверно сформировала разряд.
Информатика и достоверность информации
В информатике как в образовательной дисциплине можно обнаружить множество определений достоверности.

Менее достоверное определение, но крайне популярное в школьных программах:

Как правило, по определению школьных вариантов понять, что такое достоверность в информатике, не представляется возможным. Но ассоциации с китом и очевидными примерами достоверности для ребенка более-менее понятны.
Высшее образование редко апеллирует к термину «информатика», а изучение информации равномерно распределяет по всем другим дисциплинам, превращая вопрос «что такое достоверность в информатике» в абсолютно точный спектр ответов.
По сути, каждый предмет вуза дает студенту достоверные знания, но в своем контексте. Общее понимание достоверности и примеры по информатике уходят в какую-нибудь дисциплину, связанную с компьютерами и программированием.
Информация и ее определение
«Википедия» считает, что:

Определений информации существует множество, причем академик Н. Н. Моисеев даже полагал, что в силу широты этого понятия нет и не может быть строгого и достаточно универсального определения информации.

Другой, не менее авторитетный источник (сайт биржи «Автор24») исходит из действующего законодательства и словаря Ожегова:

Нет особенного смысла дискутировать о точности приведенных и им подобных определений, ограничимся простым собственным: если есть вопрос, то на него должен быть ответ. Что такое вопрос и что такое ответ, зависит от конкретной ситуации.
Достоверность информации и ее определение
Что такое достоверность в информатике?
Определение гласит:
- Достоверность информации — это свойство, характеризующее степень соответствия информации реальному объекту с необходимой точностью.
- При работе с неполным набором данных достоверность информации может характеризоваться вероятностью.
В принципе, такое определение можно считать приемлемым на основании теории вероятностей, которая по частоте того или иного события обосновывает его достоверность. С одной стороны, сам факт множества подобных утверждений говорит о чем-то, но этот же факт дает достоверное основание утверждать, что информация может «сама определять» свою достоверность.
Этот момент имеет существенное значение. Если сообщение или данное, ожидаемое получателем, можно достоверно расписать по критериям и принять в этом контексте обоснованное решение, то в случае множественности сообщений и данных теория вероятности и методы математической статистики превращают вопрос достоверности в математически определяемое число.

Итак, в информатике количество информации определяется как достоверность через математические методы. При наличии достаточного объема данных можно не фантазировать с определением достоверности, а положиться на математический метод. Это работает: например, статистика ежегодных наблюдений за климатом, статистика по социальным опросам, анкетирование при приеме на работу, обобщение результатов тестирования школьников и проч.
Вопрос = ответ
«На всякий вопрос должен быть достоверный ответ» — думаем, что такое определение достоверности проще и понятнее, во всяком случае, оно никак не связано ни с вопросом, ни с ответом, но прилагается к ним как неотъемлемое свойство.
Оставляя за пределами анализа вопрос о том, что такое информация, и ограничиваясь собственно вопросом, на который необходимо получить достоверный ответ, мы концентрируем внимание на:
- сути вопроса;
- содержании ответа;
- критериях достоверности.
В каждой конкретной ситуации все три позиции имеют свое значение.
Пример 1. Ключ от замка
Есть замок и есть связка ключей. Нужно открыть дверь. Внешний осмотр замка, сопоставление ключей по форме и метод простого перебора дают исключительно достоверный ответ — и дверь будет открыта.

Есть замок, но нет связки ключей. Требуется открыть дверь. Вероятные решения — пробраться за дверь иным образом или пригласить специалиста, который умеет открывать двери без ключей. Оба варианта не дают достоверного результата. Пробравшись за дверь, там можно не обнаружить возможности открыть ее изнутри, а приглашенный специалист просто испортит дверь и/или замок.
Пример 2. Ключ на поляне или в водоеме
Если на полянке бьет ключ, то получить достоверный ответ (где?) можно посредством простого наблюдения. Если ключ бьет под водой в болоте или другом водоеме, то без надлежащего приспособления не обойтись.
Если рядом с рядом с водоемом (болотом) есть деревня, а у ее жителей можно собрать нужную информацию, то путем исследования или анализа различных мнений можно определить наиболее вероятное местонахождение ключа (родника).

С другой стороны, можно просто пройтись по водоему и босыми ногами случайно найти искомое, но ходить можно долго и безуспешно. Наверняка можно придумать алгоритм поиска ключа по каким-либо признакам — и тогда вопрос достоверности ляжет на этот алгоритм поиска.
Объективность и достоверность
Достоверность в информатике по определению апеллирует к объективному восприятию действительности. Школьный курс информатики не включает в себя теорию вероятностей и математическую статистику, то есть вопрос математического определения достоверности не стоит.
Поэтому достоверность в информатике — это набор простых примеров, которыми учитель демонстрирует нужный смысл.
Если в прогнозе погоды обещают дождь, то нужно взять с собой зонтик. Но нет никакой гарантии, что будет дождь — метеослужбы часто ошибаются.
Если на улице идет сильный дождь, то на низких участках дороги будут большие лужи, и на машине ехать опасно. Достоверность опасности — только в том случае, если водитель уже знает о проблемах тех или иных дорог при сильном дожде. Для иногороднего водителя информация о возможных подтопленниях низких участков дорог недоступна, а следовательно, и достоверность ее тоже.
Объективность ситуации, в которой приходится принимать решение, — это опыт, знания и умения человека получить достоверный ответ на поставленный вопрос. Науки, и прежде всего физика явлений, дают возможность человеку принимать правильные решения, то есть интуитивно или сознательно оценивать достоверность полученной информации.
Информатика и программирование
Таким образом, что такое достоверность информации в информатике, показывают на простых и понятных примерах. Это не полноценное знание, но достаточное для приобретения нужного опыта.
Так уж сложилось в современном образовательном процессе, что информатика ассоциируется с программированием и компьютерной техникой. При этом далеко не все учащиеся становятся программистами. Обычно в школьном или ином курсе информатики учат использовать готовые программы и компьютеры. Достоверность информации, получаемой учеником, не является абсолютной, но она является практичным фундаментом.

Таким образом, вопрос о том, что такое информация и ее достоверность, следует рассматривать в более объективном контексте: сначала в мир пришел Человек, потом он приобрел Интеллект, и только затем появилось Программирование. Получается комбинация ЧИП, для благозвучности — ЧИПиотика. Можно придумать и другое название как альтернативу информатики, но ЧИП достоверно отражает суть вещей и позволяет точно определить, что такое достоверность информации по своей сути и логике вещей.
Глава 3. Методика оценки достоверности посредством определения ошибок репрезентативности
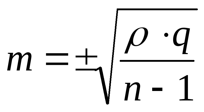
ОШИБКА ПОКАЗАТЕЛЯ ОТНОСИТЕЛЬНОЙ ВЕЛИЧИНЫ определяется по формуле:
,
где р – показатель, выраженный в %, ‰ и
т. д.
q = 100 – р, при р, выраженном в % (процентах)
или (1000 – р), при р, выраженном в ‰
(промилле) и т. д.
n — число наблюдений.
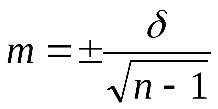
ОШИБКА СРЕДНЕЙ АРИФМЕТИЧЕСКОЙ ВЕЛИЧИНЫ определяется по формуле:
где δ — среднеквадратическое отклонение;
n — число наблюдений.
При числе наблюдений менее 30 ошибки репрезентативности определяются следующим образом:


Пример расчета ошибки репрезентативности для относительной величины
Показатель летальности в терапевтическом отделении, где пролечились 805 больных, составил 1,8%. Определить ошибку репрезентативности показателя (mр).

Пример расчета ошибки репрезентативности для средней арифметической величины
Средняя частота пульса у 203 студентов перед сдачей экзаменов составила 98 ударов в минуту, δ = ± 3,1 удар/мин. Определить ошибку репрезентативности средней арифметической величины.

ДОВЕРИТЕЛЬНЫЕ ГРАНИЦЫ СРЕДНИХ И ОТНОСИТЕЛЬНЫХ ВЕЛИЧИН
Р ген = Р выб ± tm
М ген = М выб ± tm, где Р ген и М ген – значения показателя генеральной
Совокупности и средней арифметической величины,
m – ошибки репрезентативности,
t –критерий достоверности (доверительный
коэффициент)
Эти формулы используются, когда по результатам оценки выборочной совокупности судят о размерах изучаемого явления в генеральной совокупности.
При определении доверительных границ показателя или средней величины исследователь сам задает определенную степень вероятности безошибочного прогноза (Р), для медико-биологических исследований Р — не менее 95,5 %, тогда критерий Стьюдента равен 1,96 ≈ 2,0).
Пример расчета доверительных границ для относительной величины
Используя вышеуказанные данные летальности в терапевтическом отделении, рассчитаем доверительные границы показателя летальности.
Р ген = Р выб. + t m, где Р выб. = 1,8
Задаем степень вероятности безошибочного прогноза (Р = 95,5 %),
число наблюдений (n) > 30,
величина критерия t = 2,0,
ошибка репрезентативности показателя (m) составила ± 0,4 %
Отсюда: Р ген = 1,8 % ± 2,0 · 0,4 = 1,8 % ± 0,8%
1,8 % + 0,8 % = 2,6 %
1,8 % — 0,8 % = 1,0 %
Вывод: с вероятностью безошибочного прогноза Р = 95,5 % установлено, что показатель летальности в терапевтическом отделении будет находиться в пределах от 1,0 до 2,6 летальных исходов на 100 больных.
Пример расчета доверительных границ для средней арифметической
Определим доверительные границы средней частоты пульса у студентов перед экзаменом
М
ген = М выб
tm
М выб = 98 уд/мин
Заданная степень вероятности безошибочного прогноза (Р = 95,5 %), при данной вероятности t составит 2,0, величина ошибки репрезентативности составила 0,2 уд/мин.
Отсюда следует:
М
ген = 98,0
2·0,2
= 98,0
0,4
уд/мин (от 98,4 до 97,6 уд/мин)
Вывод: с вероятностью безошибочного прогноза Р = 95,5 % установлено, что средняя частота пульса у студентов пред экзаменом будет находиться в пределах от 98,4 до 97,6 уд/мин. Частота пульса более 98,4 и менее 97,6 уд/мин. возможна не более чем у 5 % студентов генеральной совокупности.
ОЦЕНКА ДОСТОВЕРНОСТИ РАЗНОСТИ РЕЗУЛЬТАТОВ ИССЛЕДОВАНИЯ проводится тогда, когда нужно определить случайные или достоверные (существенные) различия при сравнении двух средних величин или показателей, т. е. зависят ли эти различия от влияния какого-либо фактора или они случайны.

,
где t
– критерий достоверности
Р1 и Р2 — относительные величины
М1 и М2 – средние величины
m1 и m2 – ошибки репрезентативности
относительных и средних величин
При вероятности безошибочного прогноза Р ≥ 95,5 % критерий Стьюдента
t ≥ 1,96 ≈ 2,0. В таких случаях разность показателей или средних величин следует считать достоверной (существенной), т.е. обусловленной влиянием какого-либо фактора.
При вероятности безошибочного прогноза Р < 95,5 %, t < 2,0 разность показателей или средних величин недостоверна, случайна, т.е. не обусловлена влиянием какого-либо фактора.
Пример расчета достоверности разности показателей
Оценить, есть ли достоверная разница в заболеваемости простудными заболеваниями среди рабочих 2-х цехов, если из 268 рабочих цеха, в котором наблюдаются постоянные перепады температуры и сквозняки, заболели 128, а в другом цехе, с нормальными условиями труда, из 298 – 101.
Решение:

Определяем показатель заболеваемости в цехе № 1 (Р1):
268 – 128
100 — Р1 Р1 = 47,7 %
соответственно находим показатель заболеваемости в цехе № 2 (Р2):
298 – 101
100 – Р2 Р2 = 33,8 %
Определяем ошибки репрезентативности (m1 и m2) для показателей заболеваемости (Р1 и Р2)



Вывод: заболеваемость простудными заболеваниями достоверно выше (р < 0,05) у работающих в цехе с неудовлетворительными санитарно-гигиеническими условиями труда.
Ответы@Mail.Ru: Свойство Информации — примеры.
Достоверность: все ныне живущие люди умрут Актуальность: в настоящее время на вашем счете 3 рубля Объективность: ты балбес Понятность: Чтобы приготовить салат из овощей, мелко нарежьте те овощи, которые для употребления в пищу не нуждаются в дополнительной термообработке, или те, которые лично вы можете употреблять в пищу без дополнительной термообработки, в количестве, вмещающемся в миску объемом 0.5 литра, перемешайте, добавьте соль на кончике ножа и 2 столовых ложки подсолнечного масла (любой фирмы на ваш выбор) . Полезность: Внимание, ваш автобус отправляется через 3 минуты! Полнота: Сумма углов треугольника равна 180 градусов, но только для прямоугольной системы координат на плоскости
Говорила мне мама..
1. Объективность информации 2. Необъективность информации 3. Достоверность информации 4. Недостоверность информации 5. Полнота информации 6. Неполная информация 7. Актуальность информации 8. Неактуальность информации 9. Ценная информация 10. Не ценная информация 11. Понятная информация 12. Непонятная информация
Светлана, спасибо вы очень помогли!
А где про «Ценность»???
ДОСТОВЕРНОСТЬ — это… Что такое ДОСТОВЕРНОСТЬ?
один из способов существования истины «для нас», при к-ром совпадение соответствия между познанием и объектом и знания этого соответствия на определенном этапе историч. развития выступает для обществ. субъекта как полностью установленное. В зависимости от формы познания различают непосредственную Д. и опосредствованную, полученную посредством сообщения или путем теоретич. доказательства. Марксизм учит, что в конечном счете источником всякой Д. является общественно-историч. практика. Этим он преодолевает как ограниченность эмпиризма, к-рый видит источник Д. в чувствах, так и рационализма, находящего этот источник в разуме. В истории философии нового времени столкновение этих точек зрения выявилось отчетливо начиная с 17 в. Декарт полагал, что Д. свойственна не чувствам, а лишь мышлению, отличающемуся ясностью и отчетливостью. Спиноза понимал под Д. способ, каким мы воспринимаем действительное бытие. Он так же считал Д. свойством разума, к-рый «…заключает в себе достоверность, т.е. знает, что вещи формально таковы, как они в нем самом объективно содержатся» (Избр. произв., т. 1, М., 1957, с. 356). Однако для того, «…чтобы я знал, что знаю, я по необходимости должен сначала знать. Отсюда ясно, что достоверность есть не что иное, как сама объективная сущность, т.е. способ, каким мы воспринимаем формальную сущность, есть сама достоверность. Отсюда в свою очередь ясно, что для достоверности истинности нет надобности ни в каком другом признаке, кроме того, чтобы иметь истинную идею; …ибо, для того чтобы знать, нет надобности знать, что я знаю. Из этого опять ясно, что никто не может знать, что такое высшая достоверность, кроме того, кто обладает адекватной идеей или объективной сущностью некоторой вещи; ибо одно и то же есть достоверность и объективная сущность» (там же, с. 330). Локк считал, что «достоверность бывает двоякая: достоверность истины и достоверность познания» («Опыт о человеч. разуме», М., 1898, с. 582). «Достоверность истины» имеем тогда, когда в предложении соответствие между представлениями и обозначающими их словами, выражается так точно, как оно существует в действительности. Это нечеткое различение истины и Д. критиковал Лейбниц, указывая что Д. познания есть не что иное, как совершенное знание истины, между тем как Д. истины и есть сама истина (см. «Новые опыты о человеч. разуме», М., 1936,с. 351). По мнению Лейбница, Д. была бы ничтожной или, вернее, ее не было бы совсем, если бы для простых идей не существовало другой основы, кроме той, к-рую дают чувства. К тому же по отношению к всеобщим и вечным истинам, т.н. рациональным истинам (напр., А не может быть А и не-А, сумма углов треугольника равна сумме двух прямых углов и т.д.), основа Д. заключена в самих идеях, независимо от чувств, ибо здесь мышление нигде не выходит вне себя, поскольку эти суждения выражают только отношения между представлениями, самим мышлением созданные. Иными словами, эти суждения в действительности покоятся на законах, являющихся основой при конструировании самих понятий. Между идеальными объектами не существует никакого реального отношения причинности, как между предметами природной действительности, а только – логич. отношение основания и следствия. В геометрии, напр., не спрашивают о существовании реальных треугольников, а только говорят: из определения треугольника вытекают такие-то и такие-то следствия. Математич. и логич. суждения, т.о., являются рациональными истинами, к-рые a priori даны в человеч. духе, и поэтому им свойственна высшая ступень Д. – аподиктичность. Согласно Канту, «что-либо достоверно, поскольку познается невозможность того, чтобы некоторое познание было ложным» (Соч., т. 2, М., 1940, с. 292). Д. является эмпирической или рациональной в зависимости от того, основывается ли она на опыте собственном или чужом, сообщенном, или на разуме. Последняя бывает или философской, или математической. Философская Д. дискурсивна, математическая – интуитивна и наз. также очевидностью, поскольку интуитивное знание считается более ясным, чем дискурсивное. «Метафизика, как и математика, одинаково способна к достоверности, необходимой для создания убеждения в истине, с той только разницей, что математическая достоверность легче и способна к большей наглядности (Anschauung)» (там же, с. 297). Эмпирич. Д. является первоначальной, когда эмпирич. субъект удостоверяется в чем-либо из собственного опыта; она является производной, или исторической, если получена посредством чужого опыта. От эмпирической рациональная Д. отличается тем, что она связана с сознанием необходимости, т.е. является аподиктической, представляя собой чистый продукт разума, тогда как первая – лишь ассерторической. Рациональная Д. усматривается a priori, так что и тогда, когда наши знания касаются предмета опыта, их Д. может быть вместе и эмпирической и рациональной, ибо мы эмпирически достоверное положение познаем из принципов a priori. В нашем знании многое достоверно лишь опосредствованно, т.е. лишь благодаря доказательству, существенными частями к-рого являются его материя и форма, или основание доказательства и вывод. Однако имеется много и такого, что недоказуемо или непосредственно достоверно, и это следует учитывать, поскольку наше знание должно исходить из непосредственно достоверных положений. Т.о., Кант в трактовке Д. исходит из трансцендентального эмпирического, т.е. в конечном счете субъективистского понимания истины. С Рейнгольда и Фихте начинается попытка преодолеть эмпирич. и рационалистич. понимание Д. путем идеалистич. диалектики. Во главе филос. системы они ставят некое изначально истинное положение, от к-рого все остальные заимствуют Д. В качестве основоположения оно должно быть достоверным до связи с остальными положениями системы, а потому необходимо является первым. Истина основоположения, от к-рого зависит все остальное, есть внутр. содержание науки; необходимое следование остальных положений есть связь, система или форма науки. Поэтому чувство Д. основоположения есть непосредственное соответствие нашего сознания с нашим первоначальным я. Критерий всякой теоретич. истины не только теоретический; чувство Д. возникает из совпадения акта способности суждения с нравственными побуждениями, моментом к-рых является вера как составной элемент всякой Д. Идеалистич. диалектика Фихте не справилась с проблемой субъекта и объекта, с проблемой истины. Поэтому Фихте в трактовке Д., чтобы избежать голого субъективизма, обращается к вере. Наиболее глубокое решение проблемы Д. в рамках идеалистич. диалектики дал Гегель. Подвергая критике априоризм, Гегель вместе с тем преодолевает односторонность рационализма и эмпиризма. Для гегелевской философии характерно, что она не признает полного существования истины в чувственности и чувственной Д., как это со времен Локка считали англ. эмпирики, для к-рых чем понятие выше поднимается над чувственной Д., тем оно больше является фикцией или ирреальным. Продолжая линию англ. эмпириков, позитивизм абсолютизирует чувственную Д., усматривая, т.о., окончательную инстанцию познания в том, с чего диалектика лишь начинает. То, что позитивизм понимает под фактами, является не чувств, данными, а их абстрактными схемами, к-рые изображаются как реальные. По Гегелю, непосредств. данность как таковая не является истинной, а дает лишь повод для поисков истины. Она как первая инстанция познания необходима для исследования прежде всего потому, что дает повод для сомнения. Непосредств. знание, не будучи опосредствованно мышлением, имеет чувств. характер, и т.к. всякое непосредств. знание обладает характером Д., то и начало и первая ступень сознания есть чувственная Д. Она кажется самой предметной, самой богатой и истинной, тогда как на деле она оставляет свои предметы такими, как они существуют, она ничего из них не исключает, как это делает мышление путем абстракции. Для чувств. Д. и воспринимающего сознания общим является чувств, объект, но для первой этот объект разлагается исключительно на единичности, а воспринимающее сознание сочетает их в единство. Т.о., согласно Гегелю, воспринимающее сознание диалектически отменяет точку зрения чувств. Д., т.е. низшая ступень отрицается в высшей, сохраняется и возвышается. «Таким образом, само чувственное еще имеется налицо, но не так, как оно должно было бы быть в непосредственной достоверности, [т.е.] в качестве подразумеваемого единичного, а в качестве всеобщего…» (Соч., т. 4, М., 1959, с. 61). На всех ступенях предметного сознания предмет и сознание различны. Поэтому здесь истина и Д. не могут совпадать. На ступени самосознания предмет и сознание вполне совпадают, а следовательно, вполне совпадают также истина и Д. Истина становится Д. самой себя. В этой идеалистич. интерпретации у Гегеля содержится правильная мысль о диалектике связи понятий Д. и истины. Марксизм считает Д. одним из способов (форм) существования истины «для нас», для обществ. субъекта наряду с такими категориями, как необходимость, возможность, вероятность. Все эти категории необходимо рассматривать в диалектич. связи с основной в гносеологич. отношении категорией истины. Метафизич. отрыв этих категорий от категории истины и превращение их в абсолютно самостоятельные может привести к неправильному выводу о том, что возможна логика, к-рая не была бы логикой истины. Возможность, вероятность, Д. и необходимость как определения значимости познания не могут быть ни чем иным, как определенностями истины. Это вытекает из того, что не может быть действительного познания без его существенного свойства – истинности. Следует, однако, определить отличие и место Д. среди этих категорий. «Возможно истинное» и «вероятно истинное» не могут быть «достоверно истинными», хотя, напр., оценка «вероятно истинного» как такового может быть «достоверно истинной» и хотя вероятность всегда заключает в себе определ. степень Д. Однако было бы неправильно, как это делает Рейхенбах, считать истину и Д. спец. случаем вероятностей (см. «The theory of probability», Berk.–Los Ang., 1949, ch. 9, § 73; а также Б. Рассел, Человеческое познание, M., 1957, с. 449). Согласно такому пониманию отношения между категорией истины и вероятности классическая логика истины есть только специальный, идеализированный случай действительной логики вероятности. Эта т. зр. есть результат замены истины как реальной гносеологич. категории вообще категорией вероятности. В этом отчасти повинно абстрактное и формально-логич. понимание истины как чего-то абсолютного. Между тем действительное соотношение гносеологич. категорий вероятности и истины устанавливается диалектич. логикой, марксистским учением об абсолютной и относительной истине. С т. зр. последнего не логика истины есть частный случай логики вероятности, а наоборот, логика вероятности есть частный случай логики истины. Под истиной понимается объект, взятый идеально в его конкретно-историч. форме, или, иначе, соответствие знания действительности. Д. содержит в себе соответствие знания об объекте с самим объектом и сознание этого соответствия в той мере, в какой истина «в себе» становится истиной «для нас» в смысле практики, к-рая является действительностью истинного мышления. «…Практика человека, – писал Ленин, – миллиарды раз повторяясь, закрепляется в сознании человека фигурами логики. Фигуры эти имеют прочность предрассудка, аксиоматический характер именно (и только) в силу этого миллиардного повторения» (Соч., т. 38, с. 209). Наряду с понятием аксиоматичности Д. выражает наивысшую степень уверенности в истинности, степень воспринимания истины обществ. субъектом. Но, поскольку истина есть процесс, а в Д. она выступает как нечто законченное, то следует иметь в виду, что истина обогащается в развитии, а Д. остается связанной с преодоленным этапом развития истины, с неполной истиной. Так, для совр. атомистич. воззрений Д., напр., дальтоновского атомизма не утратила силы, хотя истина атомной теории ушла далеко вперед. То, что достоверно для одной эпохи, может оказаться недостоверным для другой. Поэтому людей интересует не только Д. истины, но и степень истинности этой Д. Проблема Д. – это составная часть проблемы отношения обществ. субъекта к истине, проблемы превращения истины «в себе» в истину «для нас», а следовательно, проблемы разрешения постоянно возникающего противоречия между истиной «в себе» и истиной для обществ. субъекта.Й. Элез. Москва.
Д о с т о в е р н о с т ь в л о г и к е – свойство, приобретаемое человеч. знанием в случае, когда его истинность твердо установлена. Знание, обладающее свойством Д., наз. достоверным. Основанием всякого достоверного знания и верховным критерием его Д. является обществ.-историч. практика. Д. того или иного знания (суждения или системы суждений, сведений и пр.) достигается посредством наблюдения в нормальных условиях восприятия или экспериментального исследования объектов познания и логически правильной обработки полученных таким путем опытных данных, а также посредством логич. выводов из имеющегося знания, Д. к-рого уже была установлена ранее. Достоверные суждения, т.е. суждения, истинность к-рых обоснована к.-л. способом, напр. посредством логич. доказательства, служат в познании в качестве исходного пункта (являются посылками) новых логич. выводов, приводящих к дальнейшему расширению достоверного знания и тем самым к обогащению практики. Социальное значение достоверного знания состоит в том, что оно служит основанием для науч. предвидения и руководством в практич. деятельности людей (см. Истина). Достоверное знание (напр., достоверное суждение) следует отличать от вероятного знания (напр., вероятного суждения, суждения возможности), соответствие к-рого действительности утверждается лишь как возможное или (в случае введения критериев количеств, оценки уверенности в истинности суждения) как в той или иной степени вероятное (см. Вероятностная логика, Возможности суждение). Термины «Д.», «достоверный» применяются также к массовым событиям и отд. фактам. При рассмотрении массовых событий событие наз. достоверным, если известно, что оно не может не произойти. В теории вероятностей под Д. события понимают обычно тот крайний случай понятия вероятности, когда вероятность наступления нек-рого массового события равна единице (см. Вероятность). Достоверным фактом наз. факт, наличие к-рого (в прошлом или настоящем) установлено с очевидностью, исключающей всякое сомнение.Б. Бирюков. Москва.
Философская Энциклопедия. В 5-х т. — М.: Советская энциклопедия. Под редакцией Ф. В. Константинова. 1960—1970.
Достоверность Достоверный | Что такое Достоверность Достоверный
Достоверность как качество личности – способность излагать свои мысли, не вызывая у окружающих сомнения в соответствии их действительности, надёжности, подлинности, точности и правдивости.
Сидел как-то соловей на ореховом дереве и распевал свои соловьиные песни. Да так распелся, что и не заметил, как рядом с ним уселась ворона. — Эй, соловей, и не стыдно тебе передо мной петь свои глупые песни! — крикнула ворона. Соловей не поверил своим ушам. Неужели это было сказано о нём, соловье? Страшно рассердился он и закричал: — Да что ты понимаешь в музыке?! Люди не нарадуются, слушая мои песни! Меня в золотой клетке держат, самым лучшим зерном кормят! Да как ты можешь обо мне судить! Ведь у тебя и голоса никогда не было!
— Успокойся! — отвечает ворона. — Слетаем в город и спросим у мудрецов, кто из нас лучше поёт. Пусть нас рассудят. Но только с условием: кто из нас проиграет, тому победитель выколет глаз. Соловей был согласен на всё. Полетели они в город. Видят, лежит в луже свинья. Подлетели они к свинье и говорят: — Рассуди нас, свинья. Скажи, достоверно, кто из нас лучше поёт. — Конечно, ворона, — отвечает свинья. — У неё такой хриплый бас!
Выколола ворона соловью глаз и улетела, довольная победой. Улетел в свой лес и соловей. Сел он на то же ореховое дерево и запел грустную песню. Услышала ворона соловья, подлетела к нему и говорит: — Эх, глупый соловей. Ты проиграл, вот я и выколола тебе глаз. Чего же теперь грустишь? — Мне грустно не оттого, что я остался без глаза, — отвечает соловей. — Нет, я лишь оплакиваю тот час и ту минуту, когда послушался тебя и поверил, что от свиньи можно ожидать достоверности, что доверил решение нашего спора свинье! Недаром говорят: Свинья всегда останется свиньёй, хоть ты осыпь её звездАми.
Наивно ожидать достоверности от человека невежественного, заангажированного, купленного или предвзятого и предубеждённого. Достоверность предполагает правдивость и искренность, поэтому трудно ожидать её от человека бесчестного и тенденциозного. Если человек ссылается на авторитетные, тысяча раз проверенные источники, его информацию можно считать достоверной.
1918 год. Ночь. Стук в дверь. Рабинович подходит к двери:- Кто там?- Открывай, Чека! Он открывает.- У нас есть достоверные сведения, что вы скрываете 80 килограмм чистого золота. Выдать немедленно. — Хорошо, — говорит Рабинович — Сара, золотко, за тобой пришли!
Обычно люди проверяют достоверность информации через фильтры своего жизненного опыта. Генри Лайн Олди пишет: «Достоверность — это сличение подозрительной загогулины с нашим куцым жизненным опытом. С нашим представлением о том, какие бывают загогулины. С нашей уверенностью, что уж мы-то знаем в загогулинах толк. С нашим убеждением, что любой другой жизненный опыт — чушь и набор фантиков».
Достоверность – это когда верно и точно на все сто, в контексте до ста процентов. Никакого умолчания, полуправды, недоговорок и двусмысленностей.
Абсолютно достоверно то, что соответствует Абсолютной Истине. Если человек отклоняется от этого вектора, он просто проецирует на реальность свои чувства, эмоции, настроения, идеализации, ностальгию и свои спекуляции. Иногда жизнь становится настолько отвратной, что сны становятся единственной достоверностью.
Звонок в дверь. Мужчина идет посмотреть, кто там. Открывает, а там стоят ослик, верблюд и жираф. И верблюд говорит: — До нас дошли достоверные сведения, что в этой квартире пользуются галлюциногенами…
Недобросовестные люди хорошо усвоили, что чем невероятней, недостоверней информация, вкладываемая в уши легковеров – верхоглядов, тем больше она кажется им достоверной.
Вообще с позиций материального видения считать что-то абсолютно достоверным, весьма рискованно. Наши знания ограничены, ошибочность – качество, присущее каждому человеку. Морис Метерлинк пишет: «Граница нашего познания кажется нам достоверной, но единственное, что в ней достоверно, — это наше неведение».
К примеру, некое явление кажется нам достоверным. Первый вопрос, который должен возникнуть – что является критерием? На основании чего мы судим о достоверности чего бы то ни было?
Большинство людей живёт в мире иллюзий. Поэтому считает достоверным то, что соответствует этим иллюзиям. Для достоверного восприятия действительности необходимо духовное видение. Смотри на мир глазами Бога, и ты увидишь достоверную картину мира.
Для человека в страсти или в невежестве не существует ничего достоверного. Ещё Сенека говорил: «Достоверно (…) только то, что нет ничего достоверного».
Анекдот в тему.
Приходит бaбуля к врaчу: — Доктор, у меня проблемa. Я постоянно пукаю. Но нa сaмом деле это небольшaя проблемa, потому, что гaзы у меня без зaпaхa и без звукa. Это абсолютно достоверная информация. В докaзaтельство этому я, нaходясь у вaс в кaбинете, рaз 20 пукнулa и ничего. Доктор, выслушaв, говорит: — Хорошо, вот вaм тaблетки, через неделю приходите. Через неделю… — Доктор, что вы мне дaли? Стaло ужaсно вонять! — Вот и отлично! Обоняние вaше мы уже вылечили, a теперь будем лечить слух
достоверность — это… Что такое достоверность?
ДОСТОВЕРНОСТЬ — обоснованность, доказательность, бесспорность тех или иных элементов научного и обыденного знания. Достоверное суждение — такое суждение, в котором выражается прочно обоснованное знание; напр.: «Луна — спутник Земли», «Вода кипит при 100 градусах С» и т.п. Достоверные суждения разделяются на два вида: ассерторические, констатирующие некоторое реальное положение дел, и аподиктические, утверждающие необходимую связь явлений. Д. суждений и теорий обеспечивается эмпирическим подтверждением, экспериментальными данными, общественной практикой.
До середины 20 в. считалось, что наука или повседневный опыт способны давать абсолютно достоверные суждения. Напр., марксистская философия утверждала, что существуют так называемые абсолютные истины — положения, которые никогда не будут опровергнуты, изменены и вечно будут оставаться в сокровищнице человеческого знания. Представители логического позитивизма полагали, что протокольные предложения, выражающие чувственный опыт субъекта, абсолютно достоверны и не допускают никаких сомнений. Во второй половине 20 в. было осознано, что абсолютная Д. недостижима, что все наши утверждения и теории лишь относительно достоверны и со временем будут изменены или отброшены.
АЛ. Никифоров
Д. — понятие, характеризующее знание как твердо установленное, исключающее сомнение. В субъективном плане Д. является формой осознания истины человеком.
В истории эпистемологических учений доминировали два основных понимания Д: как несомненность тех или иных содержаний сознания и как свойство логически обоснованной истины. Первое связано с представлением об истине как о «разумном свете», в котором не подлежащее сомнению знание достигается не посредством выводов и доказательств, а в прямой интуиции. Второе — с идеей особой Д. дедуктивных теорий, образцом которых в течение веков были теории математики.
Классическая философия решала проблему Д. в духе эпистемологического фундаментализма — поиска безусловно достоверных источников и оснований знания. Согласно Декарту, объединившему указанные понимания Д., ее обеспечивают два действия разума: интуиция и дедукция. Первая есть «понятие ясного и внимательного ума, настолько простое и отчетливое, что оно не оставляет никакого сомнения в том, что мы мыслим». Распространение Д. достигается благодаря дедукции, «посредством которой мы познаем все, что необходимо выводится из чего-либо достоверно известного». В эмпиризме Д. приписывалась так или иначе понимаемым непосредственным «чувственным данным». Ф. Бэкон видел достоверный фундамент знания в чувственном ядре опыта, очищенном от антропоморфных, языковых и догматических искажений. По Юму, достоверно только знание о единичных фактах, а также математика, поскольку она имеет аналитический характер.В эпистемологии 20 в. изощренные поиски достоверных уровней знания были предприняты в неопозитивизме и в феноменологии. В первом безусловная Д. отводилась данным «чистого опыта», выраженным в языке наблюдения. В феноменологии Гуссерля восстанавливается картезианский мотив возврата к изначальным структурам сознания, раскрывающимся в интуиции с очевидностью и непосредственной Д. Обе эти фундаменталистские программы потерпели крах, и поиски абсолютных «точек опоры» знания рассматриваются ныне как нереализуемые. Так, по мнению К. Поппера, всякое знание условно и гипотетично; не существует каких-либо начал и источников знания, отличающихся безусловной Д. Реально познание исходит из разнообразных, порой достаточно шатких, оснований (метафизических идей, суждений здравого смысла и т.п.), но степень Д. знания повышается в процессе его непрерывной рациональной критики.
В современной герменевтике отрицается непосредственная Д. внутреннего опыта и доказывается, что в самопонимании, как и в понимании вообще, неизбежно присутствуют неосознаваемые предпосылки и предрассудки. В работе Л. Витгенштейна «О достоверности» проводится мысль о том, что основания знания уходят корнями в невербальный практический опыт, а свою Д. знание приобретает вследствие включенности в сеть взаимосвязанных и поддерживающих друг друга очевидностей.
Таким образом, для современной эпистемологии характерно осознание пределов обоснованности, «фундированности» любой Д. и понимание того, что границы между мнением, верой, предположением и знанием относительны и подвижны.
В.П. Филатов
Энциклопедия эпистемологии и философии науки. М.: «Канон+», РООИ «Реабилитация». И.Т. Касавин. 2009.
достоверность данных — это… Что такое достоверность данных?
- достоверность данных
- data adequacy, data verification
Большой англо-русский и русско-английский словарь. 2001.
- достоверность битов
- достоверность доказательства
Смотреть что такое «достоверность данных» в других словарях:
достоверность данных — Свойство данных не иметь скрытых ошибок. [ГОСТ Р 51170 98 ] Тематики качество служебной информации … Справочник технического переводчика
достоверность данных — 3.1.11 достоверность данных: Свойство данных не иметь скрытых ошибок Источник: ГОСТ Р 51170 98: Качество служебной информации. Термины и определения оригинал документа … Словарь-справочник терминов нормативно-технической документации
абсолютная достоверность (данных) — — [А.С.Гольдберг. Англо русский энергетический словарь. 2006 г.] Тематики энергетика в целом EN absolute reliability … Справочник технического переводчика
достоверность — 2.17 достоверность (reliability): Свойство соответствия предусмотренному поведению и результатам. Источник … Словарь-справочник терминов нормативно-технической документации
достоверность — В свойстве достоверности выделяют безошибочность данных и их истинность. Случайные ошибки в данных обусловлены, как правило, ненамеренными искажениями содержания сведений человеком, сбоями технических средств и ошибками программ ЭВМ. При анализе… … Справочник технического переводчика
ДОСТОВЕРНОСТЬ — обоснованность, доказательность, бесспорность знания. Достоверное суждение такое суждение, в котором выражается прочно обоснованное знание, напр.: «Луна спутник Земли», «Вода кипит при 100°С» и т.п. Достоверные суждения разделяются на два вида:… … Философская энциклопедия
достоверность информации — Свойство информации быть правильно воспринятой. Достигается: обозначением времени свершения событий, сведения о которых передаются; тщательным изучением и сопоставлением данных, полученных из различных источников; своевременным вскрытием… … Справочник технического переводчика
достоверность передачи данных — достоверность передачи информации — [Л.Г.Суменко. Англо русский словарь по информационным технологиям. М.: ГП ЦНИИС, 2003.] Тематики информационные технологии в целом Синонимы достоверность передачи информации EN data transmission validity … Справочник технического переводчика
Достоверность информации — в криптографии общая точность и полнота информации. Достоверность информации обратно пропорциональна вероятности возникновения ошибок в информационной системе. См. также: Информационная безопасность Финансовый словарь Финам. Достоверность… … Финансовый словарь
Достоверность передачи информации — взаимнооднозначное соответствие пакетов информации, переданных пользовательским (оконечным) оборудованием, являющимся одной стороной установленного соединения по сети передачи данных, и принятых пользовательским (оконечным) оборудованием,… … Официальная терминология
Достоверность информации — [reliability of information] соответствие принятого сообщения переданному. Количественное ее определение основывается на вероятности возникновения ошибок при передаче информации. Причем одни авторы считают, что достоверность величина,… … Экономико-математический словарь
Книги
- Изучаем PHP 7. Руководство по созданию интерактивных веб-сайтов, Скляр Дэвид. Эта книга адресована тем, кто только начинает изучать язык программирования PHP. Ее автор, Дэвид Скляр, являющийся также соавтором книги PHP Cookbook, раскрывает особенности данного языка,… Подробнее Купить за 2592 руб
- Принципы ресурсосбережения при отборе углеводородов из недр. На основе опыта применения инновационных технологий в Нижнем Поволжье, А. К. Шевченко. В книге рассмотрен комплекс проблем, возникающих в процессе разработки месторождений углеводородов. Выделены основные факторы, влияющие на эффективность ресурсосбережения: достоверность… Подробнее Купить за 1047 грн (только Украина)
- Принципы ресурсосбережения при отборе углеводородов из недр (на основе опыта применения инновационных технологий в Нижнем Поволжье), Шевченко А.К.. В книге рассмотрен комплекс проблем, возникающих в процессе разработки месторождений углеводородов. Выделены основные факторы, влияющие на эффективность ресурсосбережения: достоверность… Подробнее Купить за 809 руб

